
Análisis estadístico general de mediciones de parámetros de la red celular en Quito
General statistical analysis of cellular network parameter measurements in Quito
Revista de Investigación en Tecnologías de la Información
ISSN-e: 2387-0893
Periodicidad: Bianual
vol. 10, núm. 21, Esp., 2022
Recepción: Junio 06, 2022
Aprobación: Agosto 20, 2022

Resumen: La cantidad de datos que la conexión entre un terminal móvil y la red celular genera son altas, y analizar el comportamiento que éstos tienen es motivo de investigación para varios autores. Pero antes de comenzar un análisis es imprescindible realizar un análisis estadístico del conjunto de datos, que previamente debió haber sido preprocesado, para de esta manera conocer el comportamiento de las variables que conforman la base de datos. Este artículo presenta el análisis estadístico realizado a las mediciones de los parámetros de la red celular en la ciudad de Quito, recolectada a partir de aplicaciones celulares. Primero se describen los datos y herramientas de análisis, en este caso Python y algunas librerías, luego se desarrollan análisis estadísticos mediante el uso de gráficos, que facilitan su interpretación. Como resultados se identificaron las variables que definen el comportamiento de los datos y su distribución para considerarla como información de calidad. Además, se determinó la correlación de las variables significativas con las demás variables.
Palabras clave: Gráficos Estadísticos, Red Celular, Python, Análisis de Datos.
Abstract: The amount of data generated by the connection between a mobile terminal and the cellular network is high, and analyzing their behavior is a subject of research for several authors. But before starting an analysis, it is essential to perform a statistical analysis of the dataset, which should have been previously preprocessed, to know the behavior of the variables that make up the database. This article presents the statistical analysis of the measurements of the parameters of the cellular network in Quito city, collected from cellular applications. First, the data and analysis tools are described, in this case, Python and some libraries, then some statistical analyses are developed using graphs, which facilitate their interpretation. As result, we identified the variables that define the behavior of the data and whether they present an adequate distribution to obtain quality information. In addition, the correlation of the significant variables with the other variables was determined.
Keywords: Statistical Graphics, Cellular Network, Python, Data Analysis.
1. Introducción
Durante los últimos años han aumentado los requerimientos de los usuarios móviles para conectarse a la red celular y acceder a diferentes servicios que ésta ofrece. Se estima que el incremento de usuarios móviles en todo el mundo llegará hasta más de 5.700 millones para 2023, según el registro anual de Cisco [1]. Por otro lado, los problemas que la comunicación móvil presenta, como baja capacidad de red, alta latencia y recursos limitados, hacen que su análisis sea un tema de estudio significativo, en búsqueda de una conectividad perfecta [1].
En las redes celulares, las unidades móviles monitorean continuamente la señal de las celdas de servicio y vecinas, por lo tanto, generan una cantidad considerable de datos de parámetros de conectividad, que permiten conocer el estado de la red a la cual se conecta. Es así como se puede encontrar diversas herramientas de monitoreo de redes móviles diseñadas para dispositivos móviles, que permitan recopilar dichas mediciones [2]. De la misma manera, las operadoras celulares recopilan información de parámetros de radiofrecuencia de la red, razón por la cual, una estación base almacena informes de las mediciones de las conexiones que realiza [3].
Un reciente estudio de 5G utiliza mediciones de RSRP de haz de los UE y un agente centralizado para elecciones de handover, a partir de datos recopilados en radio bases para optimizar los traspasos utilizando el aprendizaje por refuerzo [3]. Los datos históricos de movilidad de usuarios móviles reales y el uso de técnicas de predicción, se aplican para predecir la trayectoria futura del usuario y sus parámetros de red, mediante el uso de algoritmos de aprendizaje y minería de datos [1]. Los datos reales obtenidos de una empresa de telecomunicaciones permitieron crear y probar un modelo de tráfico LTE. Estos datos fueron transformados, eliminando celdas sin tráfico, limitando el tiempo de observación y procesando los datos. Los datos de tráfico considerados fueron de enlace descendente medido por la cantidad de bloques de recursos físicos (PRB) asignados por unidad de tiempo y el número de traspasos entre cada par de celda/eNB. También se usó interpolación lineal para completar los valores faltantes después de la limpieza de datos y para evitar que los modelos se centren demasiado en optimizar las predicciones para celdas con grandes cargas de tráfico, fue fundamental normalizar la carga de tráfico [4]. El pronóstico del comportamiento de la red celular se deduce de conjuntos de datos de red de usuarios móviles y su localización. Si los datos históricos son independientes del usuario son almacenados en la BS, caso contrario, en la estación móvil. En [5], utilizando un conjunto de datos recopilado por voluntarios, utilizando una aplicación de Android especialmente diseñada en teléfonos inteligentes, colocada en los tableros de sus automóviles, se propuso mecanismos de predicción de handover, que pueden adoptarse fácilmente en la arquitectura de redes futuras [5].
Por otro lado, un estudio de medición en el sistema de transporte público de la ciudad de Nueva York recopiló conjuntos de datos de ancho de banda móvil LTE enfocado en rutas fijas. Se midió información relacionada con el ancho de banda, el canal y el contexto utilizando Net MonitorPro, una herramienta de monitoreo de redes, para desarrollar modelos de redes neuronales recurrentes y extraer los patrones temporales de la evolución del ancho de banda en escenarios de movilidad de ruta fija [2]. También se han desarrollado simuladores combinando información de ubicación y rendimiento de la red de datos para simular el traspaso asistido por ubicación [6]. Otro trabajo evaluó el rendimiento de una arquitectura propuesta, basada en controladores de borde para redes celulares, con datos reales de cientos de estaciones base de un importante operador estadounidense. En este sentido, se proporciona información sobre cómo agrupar y asociar dinámicamente las estaciones base y los controladores, según los patrones de movilidad global de los usuarios [7].
Al explotar el potencial de los datos de red recopilados, es posible extraer patrones frecuentes y obtener información valiosa, que permita mejorar los servicios de la red celular. Pero para realizar el análisis de datos y su futuro uso, se debe considerar que la disponibilidad de datos debe ser suficientes y de calidad, con un conjunto de datos libre de entradas faltantes, entradas duplicadas o cualquier forma de ruido, y sin problemas de uniformidad [8]. Por tanto, el análisis de los datos antes de someterlos a cualquier estudio se convierte en un paso de vital importancia. Un análisis estadístico dentro de una investigación permite identificar la importancia de la variable en el estudio y de esta manera seleccionar las mejores técnicas para el análisis de la información. Asimismo, se pueden encontrar medidas que describan el fenómeno de estudio, que no se visualiza de manera clara y así facilitar las inferencias partiendo de los datos recogidos [9].
En base a lo mencionado se pretende introducir al análisis estadístico de mediciones de la red celular tomadas con aplicaciones de monitoreo de red, en la ciudad de Quito. Con el propósito de describir las variables que componen el conjunto de datos recopilado para identificar aquellas que aporten en un futuro estudio de su comportamiento.
El documento se ha organizado de la siguiente manera, en la sección 2 se detalla la metodología utilizada para el estudio realizado, donde se describe la base de datos con sus variables y las herramientas estadísticas que dieron soporte a esta investigación. La sección 3 contendrá los resultados obtenidos mediante la difusión de gráficos estadísticos, estimación de densidad y análisis de correlación. Finalmente, la sección 4 contendrá las conclusiones a las que se pudo llegar.
2. Metodología
2.1. Descripción de la base de datos
Las aplicaciones que permiten monitorear las redes celulares brindan a los usuarios de los servicios móviles una herramienta para conocer el estado de conexión de su dispositivo a las radios base cercanas. Los datos recopilados con aplicaciones de monitoreo de redes se obtienen debido a que cada estación móvil se encuentra constantemente intercambiando información con la red celular en búsqueda de mantener una conexión.
De esta manera, mediante el uso de algunas aplicaciones de monitoreo, instaladas en teléfonos celulares, se procedió a recolectar datos sobre el estado de la red celular en la ciudad de Quito. Los datos fueron medidos en cuatro lugares de la ciudad durante 30 días: sector centro, alrededor de la avenida 24 de mayo, donde se tomaron mediciones a diferentes velocidades del usuario móvil; sector centro-sur, barrio Orquídeas, lugar donde se tomaron mediciones de puntos estáticos; sector norte, parroquia Calderón, los datos se tomaron en diferentes rutas de acuerdo a diferentes densidades poblacionales; y en el sector Tababela donde se determinaron rutas con baja señal celular. Con estos datos se buscó tener datos de diferentes características, pero al ser tomados desde diferentes aplicaciones fue necesario realizar un proceso de integración y limpieza de datos antes de su análisis. Dentro del proceso de limpieza se procuró minimizar la presencia de datos nulos, datos constantes, mantener uniformidad en la escritura de cada variable y sobre todo generar una base de datos general. La base de datos principal. con la que se trabajó, incluye las variables descritas en la Figura 1.

Se observan 24 variables no nulas con 29670 registros. Dentro de las variables cualitativas se tienen 10 variables, identificadas como tipo object, y 2 variables de tipo date como son date y time; y 12 variables cuantitativas de tipo float. Cada una de las variables brinda información sobre la red celular a la que se encuentran conectadas las estaciones móviles, a continuación, se detallan los parámetros recopilados.
Date, day, time: Identifica la fecha, día de la semana y hora en la que se tomó la medida.
Rssi_strongest: Potencia más fuerte de las radios bases cercanas a la estación móvil, dado en dBm.
Rssi: Potencia de la señal recibida en el terminal móvil, de la radio base a la que está conectado, dado en dBm.
Rsrq: Calidad de la señal de referencia recibida relacionada con el rssi.
Ruta, zona: Sector y ruta donde se realizó la medición.
Net_op_code: Código de la operadora a la cual se conectó la estación móvil.
Net_type: Tecnología que usó el teléfono móvil para conectarse a la red.
Data_state: Estado actual de la conexión de datos, con estados CONNECTED, DISCONNECTED y CONNECTING.
Data_act: Estado actual del tráfico de datos (INOUT, NONE, DORMANT y OUT).
Data_rx: Número total de bytes recibidos a través de la interfaz móvil.
Data_tx: Número total de bytes transmitidos a través de la interfaz móvil.
Umts_neighbors: Número de estaciones base UMTS vecinos.
Lte_neighbors: Número de estaciones base LTE vecinos.
Psc_pci: Identificación de la celda.
Rssnr: Relación señal/ruido de la señal de referencia.
Accuracy: Precisión de la ubicación del dispositivo en el momento de la medición, dado en metros.
Lat, Long: Ubicación del registro de la medición (latitud y longitud) en grados.
Band: Banda de frecuencia en la que está conectado el terminal móvil.
Arfcn: Número del canal de radiofrecuencia absoluto.
2.2. Herramientas estadísticas
Dentro del análisis estadístico es importante determinar el propósito de la investigación, para describir los datos disponibles se debe recurrir a la estadística descriptiva. Mientras que, si el objetivo es generalizar los datos o hacer inferencias a partir de ellos, la mejor opción es la estadística inferencial [10].
La estadística descriptiva inicia con la exploración de cómo se distribuyen los datos de cada variable y así conocer su comportamiento individual. Las visualizaciones para examinar dichas distribuciones incluyen representaciones tabulares y gráficas que facilitan su interpretación.
De acuerdo al tipo de variable existen diferentes gráficas que permiten visualizar la distribución de los datos. Bar char o gráfico de barras se caracteriza por barras o rectángulos que reflejan la frecuencia de la categoría mediante su altura, recomendado para variables categóricas con un número limitado de categorías. Otro gráfico que representa datos numéricos es el histograma, que en el eje horizontal presenta los puntos medios de los intervalos, cuyas frecuencias están representadas por las alturas de las barras, esta herramienta ofrece un buen equilibrio entre la síntesis de los datos y detalles sobre la distribución. Otro tipo de gráfico que se suele utilizar para representar datos numéricos es el gráfico de línea o polígono, que es una versión suavizada del histograma, que presenta la densidad de datos mediante una línea, cuando se sombrea el área bajo la línea se le conoce como gráfico de densidad. El histograma, el gráfico de líneas y los gráficos de densidad se parecen mucho entre sí en su representación de densidad o frecuencia, la diferencia es el tipo de visualización que se desea obtener. Estas representaciones además permiten determinar la forma de la distribución, es decir, la simetría o asimetría que presentan los datos. Regularmente, los gráficos de líneas suelen emplearse cuando se representan dos variables, y una de ellas representa tiempo.
Una representación gráfica del valor máximo, mínimo y los cuartiles Q25, Q50 y Q75 de una distribución viene dada por un boxplot, también llamado gráfico de cajas y bigotes, que permite determinar la simetría de los datos, el rango y si existen outliers[10].
Luego de seleccionar el tipo de visualización estadística que más se adecue a los datos a describir, es importante seleccionar la herramienta que permita implementar las representaciones gráficas. Una herramienta potente por su flexibilidad es Python, que cuenta con diferentes bibliotecas para la visualización de datos. Las bibliotecas ofrecen la creación de gráficos en Python y otros servicios adicionales, entre las bibliotecas más conocidas se tiene Matplotlib, Seaborn, Bokeh, Plotly y Pygal [11], [12], [13].
De esta manera, con la ayuda de otras librerías de Python como Pandas, que permite la adquisición, manejo y análisis de datos, Numpy especializada en el cálculo numérico y el análisis de datos, fue posible el análisis estadístico descriptivo y correlacional de los datos en este estudio.
3. Resultados
El análisis estadístico realizado permite describir el comportamiento de los datos recolectados de parámetros de radiofrecuencia de la red celular en la ciudad de Quito, medidos utilizando aplicaciones celulares como Netmonitor. Luego de realizar procedimientos de integración y limpieza de datos, se comenzó con una base de datos de 29670 registros y 25 variables.
En primer lugar, se procedió a realizar la visualización de los datos cuantitativos mediante histogramas, para de esta manera conocer la distribución de las variables con este tipo de datos. La Figura 2 muestra los histogramas de las variables numéricas o cuantitativas de la base de datos.

A través del histograma se puede visualizar la distribución de los datos considerando su frecuencia de presencia en los valores que se grafican en el eje horizontal. Es decir, que se puede describir que las variables net_op_code, band, umts_neighbors y arfcn, tienen una concentración de datos en solo dos valores, ya que se observan dos barras significativas en determinados valores. Por otro lado, las variables rssi_strongest, rssi, rsrq y rssnr tiene una distribución muy similar a una campana de Gauss. Además, en cada gráfico se puede observar el valor más frecuente en los datos, por ejemplo, en lte_neigbors el valor más frecuente es cero. Las demás gráficas podrían representar distribuciones con ajuste deficiente o que se requiere agruparlos.
De la misma manera, los gráficos de densidad mostrados en la Figura 3 representan la distribución de los datos de acuerdo a su frecuencia de aparición. La ventaja de este tipo de gráficas es que permite observar de una manera más adecuada la presencia de picos, que muestran los valores más comunes en los datos, y la dispersión que permite definir qué tanto varían los datos. De este modo, las variables rssi, rsrq, rssnr y rssi_strongest muestran un pico significativo y sus valores presentan una distribución que tiende a ser normal. En cambio, la variable data_rx y data_tx muestra la presencia de valores en cero, que están limitando el comportamiento de los datos. Las otras variables, en cambio, presentan varios picos, por cuanto su distribución no se puede estimar fácilmente.

Otra representación gráfica estadística de gran aporte son los boxplot, en la Figura 4 se observa los boxplot de todas las variables cuantitativas, para verificar el comportamiento de los datos. Una característica importante que permite visualizar un boxplot, es la presencia de valores atípicos que pueden influir en la verdadera distribución de los datos. Dentro de las variables analizadas, umts_neighbors, presenta un comportamiento inadecuado, ya que no tiene una variabilidad estimada. Mientras que lte_neigbors y accuracy presenta una cantidad considerable de datos atípicos debido a la naturaleza de la variable, en caso de lte_neighbors los valores son pocos números enteros y accuracy es un parámetro relacionado con cada ubicación. Las variables lat y long, presenta una simetría inversa entre ellas, y net_op_code, psc_pci, band y arfcn, muestran que su concentración de valores está hacia sus valores más altos. Aquellas variables que exponen un comportamiento casi simétrico son rssi_strongest, rssi, rsrq y rssnr, considerándolas como las que podría representar al comportamiento de la data general.

Estos análisis permitieron descubrir variables que no tienen muchos valores, por cuanto se recomienda transformarlas a variables cualitativas, siendo el caso de las variables, umts_neighbors, band, net_op_code y arfcn.
El mismo análisis realizado para variables numéricas es posible para las variables categóricas, en este caso mediante diagrama de barras, se puede observar cómo se encuentran los datos de acuerdo a las variables cualitativas mostrados en la Figura 5.

Estas gráficas dan a conocer la cantidad de datos por cada grupo en las diferentes variables, de esta manera se puede saber que existen más datos con tipo de red LTE y con estado de los datos conectado, de la misma manera, que la mayoría de los datos tiene cero vecinos UMTS.
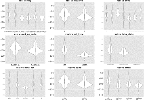
También se puede observar el comportamiento de las variables cuantitativas por cada grupo de variables cualitativas. Por ejemplo, en la Figura 6 se puede observar el comportamiento de la variable rssi dentro de cada variable cualitativa.
Este tipo de gráficas presenta información significativa sobre el comportamiento de una variable determinada, por ejemplo, se puede indicar que existe una gran proporción de datos con rssi alrededor de -90 dBm aproximadamente para la banda de 2100, mientras que para la banda de 1900 este valor oscila en -105 dBm aproximadamente. Por otro lado, en comparación con la variable day, se puede decir que los días jueves no existe un rssi concentrado en algún valor, en cambio, los lunes y viernes tienen una concentración en aproximadamente -105 dBm. También se podría describir el rssi de acuerdo al tipo de red, para LTE existen más valores con rssi de -100 dBm aproximadamente y para UMTS estos valores están en -120 dBm.
El análisis de correlación también es pieza fundamental dentro de un análisis estadístico, para de esta manera conocer la correlación que tienen las variables con las cuales se está trabajando. La gráfica de la Figura 7 muestra gráficamente la correlación que existe entre la variable rssi y las otras variables cuantitativas.
Esta gráfica muestra en la línea roja la tendencia de la variable de análisis, en este caso la variable rssi_strongest y los puntos presentan cómo se distribuyen los datos de las otras variables en torno a dicha tendencia. De acuerdo a esto se puede observar como la variable rssi y rssi_strongest tienen una correlación fuerte, ya que los puntos están distribuidos alrededor de la línea roja.


Otro recurso que apoya en gran medida a conocer la correlación entre las variables de análisis es la matriz de correlación mostrada en la Figura 8, misma que mediante colores muestra las variables que están más correlacionadas.
La matriz de correlación verifica lo que se mostró en la Figura 7, que existe una correlación fuerte de 0.89 entre rssi y rssi_strongest, mientras que se observa que no existe correlación entre rssi_strongest y rssnr. Además, se determina un alto nivel de correlación positiva entre rsrq y rssi, de la misma manera entre data_tx y data_rx y entre lat y accuracy, mientras que existe un nivel de correlación negativa entre lat y long. Por otro lado, las variables rssnr, lte_neighbors y psc_pci presentan un coeficiente de correlación bajo con la mayoría de las variables.

4. Conclusiones
La cantidad de datos que la conexión entre un terminal móvil y la red celular genera son altas, y aprovechar esta información para crear modelos de aprendizaje o predicciones son temas de estudio durante los últimos años. Pero el análisis de cualquier conjunto de datos requiere tener como principal consideración que éstos deben ser preprocesados, para así obtener datos sin errores y de calidad. Luego del preprocesamiento de datos se puede recurrir a diversos procedimientos para extraer información oculta o simplemente describir los mismos.
El análisis estadístico permite conocer los datos disponibles para cualquier investigación, ya que mediante una interpretación adecuada se puede definir las variables que más aportan al comportamiento de los datos. Los gráficos estadísticos facilitan la interpretación de un conjunto de datos y Python con el variado conjunto de librerías con las que trabaja, facilita aún más los procedimientos de integración, limpieza y análisis de datos, con atractivas interfaces de usuario.
Finalmente, luego de realizar el análisis estadístico de las mediciones de parámetros de la red celular en Quito, tomadas desde aplicaciones celulares, se identificaron las variables que definen el comportamiento de los datos y si presentan una distribución adecuada para obtener información de calidad. Además, se determinó la correlación de las variables significativas con las demás variables.
Aquellas variables que presentaron un coeficiente de correlación alto como rssi con rssi_strongest, rsrq; data_rx con data_tx permiten definir que la variabilidad entre ellas está relacionada, es decir, podrían encontrarse parámetros de comportamiento que a través de la una infiera el comportamiento de la otra. Mientras que variables que presentan coeficientes de correlación bajos como lte_neighbors, psc_pci, accuracy y rssnr determinan que variables no aportan a un futuro modelo de aprendizaje o predicción; o que las condiciones en las que se tomaron las mediciones no son las adecuadas, como es el caso de algunas de las variables de este estudio. Por ejemplo, el psc_pci no puede relacionarse con los demás datos, ya que las mediciones son de diferentes operadoras y diferentes localizaciones, por cuanto los resultados demuestran que no se trata de error de las variables si no de mejorar las condiciones de toma de datos, condiciones que se pueden inferir de los gráficos estadísticos.
En conclusión, se considera que las variables de la potencia de la señal recibida (rssi), la potencia más fuerte de las radios bases cercanas a la estación móvil (rssi_strongest) y la calidad de la señal de referencia recibida relacionado con el rssi(rsrq), son aquellas que definen el comportamiento de los datos y tienen una distribución adecuada. El análisis estadístico desarrollado servirá como base para un futuro análisis de Machine Learning de los datos recopilados.
5. Agradecimientos
Se agradece al apoyo del Proyecto de Investigación Interno sin Financiamiento PII-DETRI-2022-02 titulado “Análisis del funcionamiento de las redes celulares en base a mediciones de campo y técnicas de Machine Learning (Caso de estudio ciudad de Quito)” de la Escuela Politécnica Nacional.
6. Referencias
[1] Bahra, N., Pierre, S. (2021). A Hybrid User Mobility Prediction Approach for Handover Management in Mobile Networks. Telecom, 2 (2), 199-212. https://doi.org/10.3390/telecom2020013
[2] Mei, L., Gou, J., Cai, Y., Cao, H., Liu, Y. (2021). Realtime Mobile Bandwidth and Handoff Predictions in 4G/5G Networks.http://arxiv.org/abs/2104.12959
[3] Yajnanarayana, V., Rydén, H., Hévizi, L. (2020). 5G Handover using Reinforcement Learning. IEEE 3rd 5G World Forum (5GWF), Bangalore, India. https://doi.org/10.1109/5GWF49715.2020.9221072
[4] Zhao, S., Jiang, X., Jacobson, G., Jana, R., Hsu, W. L., Rustamov, R., Talasila, M., Aftab, S. A., Chen, Y., Borcea, C. (2020). Cellular Network Traffic Prediction Incorporating Handover: A Graph Convolutional Approach. 17th Annual IEEE International Conference on Sensing, Communication, and Networking (SECON), Como, Italy. https://doi.org/10.1109/SECON48991.2020.9158437
[5] Abdah, H., Barraca, J. P., Aguiar, R. L. (2020). Handover Prediction Integrated with Service Migration in 5G Systems. IEEE International Conference on Communications (ICC), Dublin, Ireland. https://doi.org/10.1109/ICC40277.2020.9149426
[6] Markopoulos, A., Pissaris, P., Kyriazakos, S., Dimitriadis, C., Sykas, E. D. (2002). Combining Position Location Information and Network Performance Data for Simulating Location Aided Handover. https://citeseerx.ist.psu.edu/viewdoc/download?doi=10.1.1.12.30&rep=rep1&type=pdf
[7] Polese, M., Jana, R., Kounev, V., Zhang, K., Deb, S., Zorzi, M. (2021). IEEE Transactions on Mobile Computing, 20 (12), 3367-3382. https://doi.org/10.1109/TMC.2020.2999852
[8] Mollel, M. S., Abubakar, A. I., Ozturk, M., Kaijage, S. F., Kisangiri, M., Hussain, S., Imran, M. A., Abbasi, Q. H. (2021). A Survey of Machine Learning Applications to Handover Management in 5G and Beyond. IEEE Access, 9, 45770-45802. https://doi.org/10.1109/ACCESS.2021.3067503
[9] León Pirela, A. R., Pérez, C. E. (2019). Análisis estadístico en investigaciones positivistas: Medidas de tendencia central. Orbis. Revista Científica Electrónica de Ciencias Humanas, (43), 71-81. https://dialnet.unirioja.es/servlet/articulo?codigo=7065797
[10] Weinberg, S. L., Harel, D., Abramowitz, S. K. (2021). Statistics Using R. Cambridge University Press.
[11] Vázquez Carmona, E. V., Vázquez López, R., Herrera Lozada, J. C. (2019). Representación Gráfica de Datos Estadísticos en Python Utilizando la Biblioteca Matplotlib.https://www.boletin.upiita.ipn.mx/index.php/ciencia/845-cyt-numero-75/1775-representacion-grafica-de-datos-estadisticos-en-python-utilizando-la-biblioteca-matplotlib
[12] Matplotlib. (2022). Matplotlib—Visualization with Python. https://matplotlib.org/
[13] Ramos López, B. (2020). Librerías de Python para la visualización de datos. https://www.cursosgis.com/librerias-de-python-para-la-visualizacion-de-datos/

